Integration Formulas Uv Rule
The slope of a function andor something more abstract.
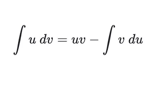
Integration formulas uv rule. In calculus and more generally in mathematical analysis integration by parts or partial integration is a process that finds the integral of a product of functions. In this section we will be looking at integration by parts. Of all the techniques well be looking at in this class this is the technique that students are most. Clearly one can memorize several of the commonly known integration formulas some of which where shown in the preceding table.
However these will not be applicable to all. Common derivatives and integrals visit httptutorialmathlamaredu for a complete set of calculus i ii notes. C 2005 paul dawkins integrals. The rule of sarrus is a mnemonic for the 3 3 matrix determinant.
The sum of the products of three diagonal north west to south east lines of matrix elements minus. This paper describes the development evaluation features and applications of chromophoreasy an alternative excel based program for recognition and integration of.











































