Equation Of Ellipse In Polar Form
This calculator will find either the equation of the ellipse standard form from the given parameters or the center vertices co vertices foci are.

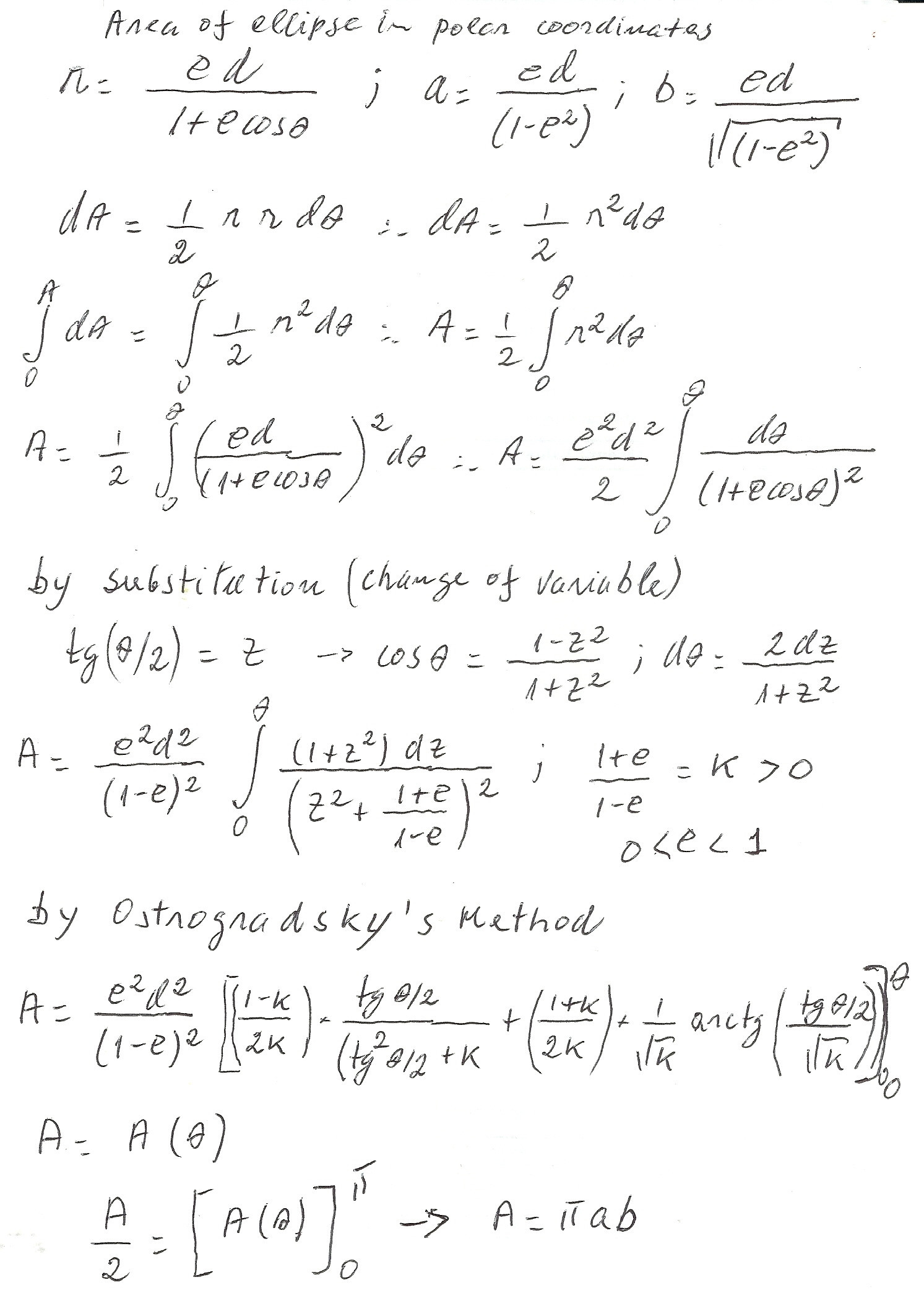
Equation of ellipse in polar form. If cartesian coordinates are introduced such that the origin is the center of the ellipse and the x axis is the major axis and the foci are the points. A polar rose is a mathematical curve that looks like a petaled flower and that can be expressed as a simple polar equation for any constant 0. When graphing conic sections in polar form you can plug in various values of theta to get the graph of the curve. In each equation above k is a constant value.
An ellipse is a curve that is the locus of all points in the plane the sum of whose distances r1 and r2 from two fixed points f1 and f2 the foci separated by a. An ellipse is defined as the set of points that satisfies the equation in cartesian coordinates with the x axis horizontal the ellipse equation is. Click on a letter. A to z index.






































