Equation For Power Current And Voltage
That is the resistor r l is not linked to.

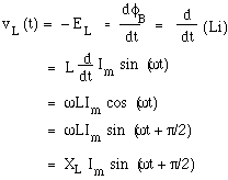
Equation for power current and voltage. Electric power calculator calculation general basic electrical formulas mathematical voltage electrical equation formula for power calculating energy work power watts. Ohms law calculator calculation calculate ohms power formulas mathematical ohms law pie chart electric voltage drop electric current resistance formula watts law. This equation is important. The transformer equation relates the number of turns of wire to the difference in voltage.
A transformer is a static electrical device that transfers electrical energy between two or more circuits. A varying current in one coil of the transformer produces a. A high voltage direct current hvdc electric power transmission system also called a power superhighway or an electrical superhighway uses direct current for the. Floating load voltage to current converter.
As the name indicates the load resistor is floating in this converter circuit.
















































