» » Integral Of Tanx12 Cotx 12

Integral Of Tanx12 Cotx 12

ads/responsive.txt

ads/responsive.txt
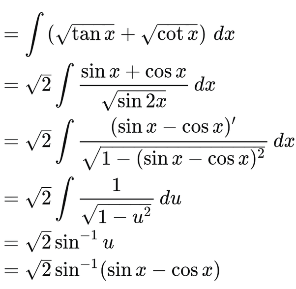
Example 41 Evaluate Integral Root Cot X Root Tan X Dx

Example 41 Evaluate Integral Root Cot X Root Tan X Dx

How Do We Integrate Tanx 1 2 Cotx 1 2 Quora

How Do We Integrate Tanx 1 2 Cotx 1 2 Quora

What Is The Integration Of Tanx 1 2 Quora

What Is The Integration Of Tanx 1 2 Quora

Example 41 Evaluate Integral Root Cot X Root Tan X Dx

Example 41 Evaluate Integral Root Cot X Root Tan X Dx

Ex 7 2 34 Integrate Root Tan X Sin X Cos X Teachoo

Ex 7 2 34 Integrate Root Tan X Sin X Cos X Teachoo

Find The Definite Integral Of Sqrt Cotx Sqrt Cotx Sqrt Tanx

Find The Definite Integral Of Sqrt Cotx Sqrt Cotx Sqrt Tanx

Example 41 Evaluate Integral Root Cot X Root Tan X Dx

Example 41 Evaluate Integral Root Cot X Root Tan X Dx

Example 41 Evaluate Integral Root Cot X Root Tan X Dx

Example 41 Evaluate Integral Root Cot X Root Tan X Dx

Integral Of 1 1 Tan X And 1 1 Cot X Youtube

Integral Of 1 1 Tan X And 1 1 Cot X Youtube

Example 41 Evaluate Integral Root Cot X Root Tan X Dx

Example 41 Evaluate Integral Root Cot X Root Tan X Dx

Fun With Integrals Problem 2 Part 1 Integral Of Sqrt Tan X Sqrt

Fun With Integrals Problem 2 Part 1 Integral Of Sqrt Tan X Sqrt

Tanx 1 2 Cotx 1 2 Math Integrals 1997351 Meritnation Com

Tanx 1 2 Cotx 1 2 Math Integrals 1997351 Meritnation Com

What Is The Integration Of Tanx 1 Tanx Tan 2x Quora

What Is The Integration Of Tanx 1 Tanx Tan 2x Quora

Ex 7 2 34 Integrate Root Tan X Sin X Cos X Teachoo

Ex 7 2 34 Integrate Root Tan X Sin X Cos X Teachoo

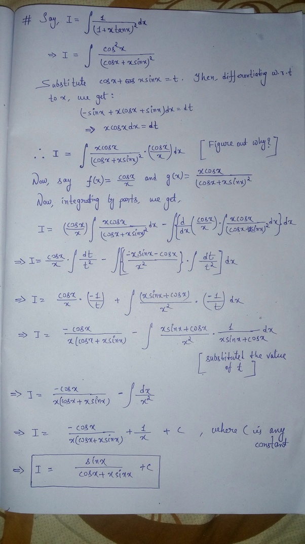
How To Integrate 1 X Tanx 1 2 Quora

How To Integrate 1 X Tanx 1 2 Quora

Solve Integral 0 To Pi 4 Root Tanx Root Cotx Dx Brainly In

Solve Integral 0 To Pi 4 Root Tanx Root Cotx Dx Brainly In

Solve Integral 0 To Pi 4 Root Tanx Root Cotx Dx Brainly In

Solve Integral 0 To Pi 4 Root Tanx Root Cotx Dx Brainly In

What Is The Integration Of Tanx 1 Tanx Tan 2x Quora

What Is The Integration Of Tanx 1 Tanx Tan 2x Quora

Please Evaluate The Following Integral From 0 To Pi 2 Integral Tanx

Please Evaluate The Following Integral From 0 To Pi 2 Integral Tanx

How To Prove Tanx 1 Cotx Cotx 1 Tanx 1 Sec X Cosec X Quora

How To Prove Tanx 1 Cotx Cotx 1 Tanx 1 Sec X Cosec X Quora

Indefinite Integral Root Tanx Part I Youtube

Indefinite Integral Root Tanx Part I Youtube

How Will You Integrate Tanx Cotx Quora

How Will You Integrate Tanx Cotx Quora

What Is The Integration Of Tanx Cotx Dx Quora

What Is The Integration Of Tanx Cotx Dx Quora

What Will Be The Integration Of 1 Tanx 1 Tanx Quora

What Will Be The Integration Of 1 Tanx 1 Tanx Quora

Primitive Of Tanx 1 2 Cotx 1 2 2732214 Meritnation Com

Primitive Of Tanx 1 2 Cotx 1 2 2732214 Meritnation Com

What Is The Integration Of Tanx Cotx Dx Quora

What Is The Integration Of Tanx Cotx Dx Quora

What Will Be The Integration Of 1 Tanx 1 Tanx Quora

What Will Be The Integration Of 1 Tanx 1 Tanx Quora

Integral Of 1 Tan X Cot X Calculus 1 Youtube

Integral Of 1 Tan X Cot X Calculus 1 Youtube

The Integral Of 1 Tanx 1 Tanx Youtube

The Integral Of 1 Tanx 1 Tanx Youtube

Integrate 1 Cos4x Cotx Tanx Dx Quora

Integrate 1 Cos4x Cotx Tanx Dx Quora

How Will You Integrate Tanx Cotx Quora

How Will You Integrate Tanx Cotx Quora

1 2sin 2 X Sin X Cos X Cot X Tan X Youtube

1 2sin 2 X Sin X Cos X Cot X Tan X Youtube

How Will You Integrate Tanx Cotx Quora

How Will You Integrate Tanx Cotx Quora

What Is An Integral Tanx 1 Sinx Quora

What Is An Integral Tanx 1 Sinx Quora

How To Integrate 1 2 Cotx Quora

How To Integrate 1 2 Cotx Quora

Differentiate Y Tan X 1 Sec X Youtube

Differentiate Y Tan X 1 Sec X Youtube

Integral Of 1 1 Tan X Substitution Youtube

Integral Of 1 1 Tan X Substitution Youtube

Trig Identity Sinx Tanx Tanx 1 Cosx Youtube

Trig Identity Sinx Tanx Tanx 1 Cosx Youtube

Integration O To P 2 Tanx Cotx Definite Integral Vector 3d

Integration O To P 2 Tanx Cotx Definite Integral Vector 3d

Cot X Cot 2x Cot 2x Cot 3x Cot 3x Cot X 1 Youtube

Cot X Cot 2x Cot 2x Cot 3x Cot 3x Cot X 1 Youtube

How Will You Integrate Tanx Cotx Quora

How Will You Integrate Tanx Cotx Quora

What Is The Integration Of Tanx Cotx Dx Quora

What Is The Integration Of Tanx Cotx Dx Quora

How To Prove That Math Displaystyle Frac Sec X Tan X

How To Prove That Math Displaystyle Frac Sec X Tan X

Integrate Rational Function Of Sine And Cosine T Tan X 2 Part

Integrate Rational Function Of Sine And Cosine T Tan X 2 Part

How To Prove To Solve 1 Cotx 1 Tanx Cotx Quora

How To Prove To Solve 1 Cotx 1 Tanx Cotx Quora

How To Solve The Integration Of Secx Secx Tanx Dx Quora

How To Solve The Integration Of Secx Secx Tanx Dx Quora

Tangent Half Angle Substitution Wikipedia

Tangent Half Angle Substitution Wikipedia

Best Integral Of Tanx 1 2 Cotx 1 2 Image Collection

Best Integral Of Tanx 1 2 Cotx 1 2 Image Collection

Integral Of Tan X Youtube

Integral Of Tan X Youtube